![]() |
Multiplikation und Division von Wurzeln - Level 1 - Grundlagen - Blatt 1 |
| Dokument mit 33 Aufgaben |
Aufgabe A1 (9 Teilaufgaben)
| Vereinfache ohne Verwendung eines Taschenrechners. | |||
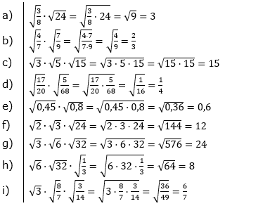
| a) | ![]() |
= | _______________________ |
| b) | ![]() |
= | _______________________ |
| c) | ![]() |
= | _______________________ |
| d) | ![]() |
= | _______________________ |
| e) | ![]() |
= | _______________________ |
| f) | ![]() |
= | _______________________ |
| g) | ![]() |
= | _______________________ |
| h) | ![]() |
= | _______________________ |
| i) | ![]() |
= | _______________________ |
| |
Aufgabe A2 (9 Teilaufgaben)
| Vereinfache ohne Verwendung eines Taschenrechners. | |||
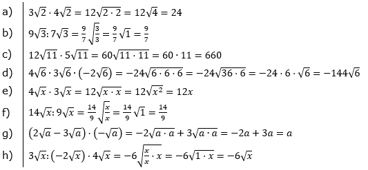
| a) | ![]() |
= | _______________________ |
| b) | ![]() |
= | _______________________ |
| c) | ![]() |
= | _______________________ |
| d) | ![]() |
= | _______________________ |
| e) | ![]() |
= | _______________________ |
| f) | ![]() |
= | _______________________ |
| g) | ![]() |
= | _______________________ |
| h) | ![]() |
= | _______________________ |
| i) | ![]() |
= | _______________________ |
| |
Aufgabe A3 (7 Teilaufgaben)
| Berechne und vereinfache. | |||
| a) | ![]() |
= | _______________________ |
| b) | ![]() |
= | _______________________ |
| c) | ![]() |
= | _______________________ |
| d) | ![]() |
= | _______________________ |
| e) | ![]() |
= | _______________________ |
| f) | ![]() |
= | _______________________ |
| g) | ![]() |
= | _______________________ |
| |
Aufgabe A4 (8 Teilaufgaben)
| Berechne und vereinfache. | |||
| a) | ![]() |
= | _______________________ |
| b) | ![]() |
= | _______________________ |
| c) | ![]() |
= | _______________________ |
| d) | ![]() |
= | _______________________ |
| e) | ![]() |
= | _______________________ |
| f) | ![]() |
= | _______________________ |
| g) | ![]() |
= | _______________________ |
| h) | ![]() |
= | _______________________ |
| |
| Du befindest dich hier: |
| Multiplikation und Division von Wurzeln Level 1 - Grundlagen - Blatt 1 |


- Geschrieben von Meinolf Müller Meinolf Müller
- Zuletzt aktualisiert: 15. Juli 2021 15. Juli 2021








































