![]() |
Vermischte Aufgaben mit Wurzeln - Aufgabenblatt 7 |
| Dokument mit 34 Aufgaben |
Aufgabe A1 (9 Teilaufgaben)
| Berechne die folgenden Terme. | |||
| a) | ![]() |
= | _______________________ |
| b) | ![]() |
= | _______________________ |
| c) | ![]() |
= | _______________________ |
| d) | ![]() |
= | _______________________ |
| e) | ![]() |
= | _______________________ |
| f) | ![]() |
= | _______________________ |
| g) | ![]() |
= | _______________________ |
| h) | ![]() |
= | _______________________ |
| i) | ![]() |
= | _______________________ |
| |
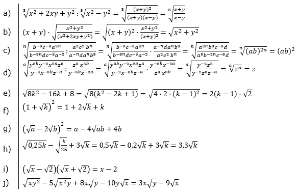
Aufgabe A2 (10 Teilaufgaben)
| Berechne bzw. vereinfache die folgenden Terme. | |||
| a) | ![]() |
= | _______________________ |
| b) | ![]() |
= | _______________________ |
| c) | ![]() |
= | _______________________ |
| d) | ![]() |
= | _______________________ |
| e) | ![]() |
= | _______________________ |
| f) | ![]() |
= | _______________________ |
| g) | ![]() |
= | _______________________ |
| h) | ![]() |
= | _______________________ |
| i) | ![]() |
= | _______________________ |
| j) | ![]() |
= | _______________________ |
| |
Aufgabe A3 (6 Teilaufgaben)
| Mache den Nenner rational. | |||
| a) | ![]() |
= | _______________________ |
| b) | ![]() |
= | _______________________ |
| c) | ![]() |
= | _______________________ |
| d) | ![]() |
= | _______________________ |
| e) | ![]() |
= | _______________________ |
| f) | ![]() |
= | _______________________ |
| |
Aufgabe A4 (4 Teilaufgaben)
| Vereinfache. | |||
| a) | ![]() |
= | _______________________ |
| b) | ![]() |
= | _______________________ |
| c) | ![]() |
= | _______________________ |
| d) | ![]() |
= | _______________________ |
| |
Aufgabe A5 (5 Teilaufgaben)
| Fasse zusammen. | |||
| a) | ![]() |
= | _______________________ |
| b) | ![]() |
= | _______________________ |
| c) | ![]() |
= | _______________________ |
| d) | ![]() |
= | _______________________ |
| e) | ![]() |
= | _______________________ |
| |
| Du befindest dich hier: |
| Vermischte Aufgaben mit Wurzeln - Aufgabenblatt 7 |


- Geschrieben von Meinolf Müller Meinolf Müller
- Zuletzt aktualisiert: 15. Juli 2021 15. Juli 2021










































