![]() |
Konstanten-, Faktor- und Potenzregel - Level 2 - Fortgeschritten - Blatt 1 |
| Dokument mit 21 Aufgabe |
Aufgabe A1 (7 Teilaufgaben)
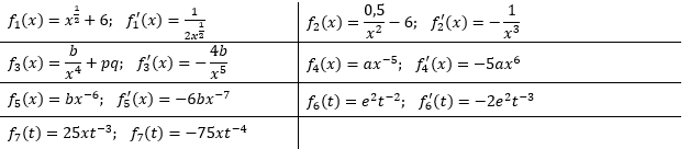
Bilde die Ableitungen mit Hilfe der entsprechenden Ableitungsregel.![]() |
| |
Aufgabe A2 (7 Teilaufgaben)
Bilde die Ableitungen mit Hilfe der entsprechenden Ableitungsregel.![]() |
| |
Aufgabe A3 (7 Teilaufgaben)
Bilde die Ableitungen mit Hilfe der entsprechenden Ableitungsregel.![]() |
| |
| Du befindest dich hier: |
| Konstanten-, Faktor- und Potenzregel Level 2 - Fortgeschritten - Blatt 1 |


- Geschrieben von Meinolf Müller Meinolf Müller
- Zuletzt aktualisiert: 16. Juli 2021 16. Juli 2021









