![]() |
Die Logarithmische Differentiation - Level 4 - Universität - Blatt 2 |
| Dokument mit 8 Aufgaben |
Aufgabe A1 (4 Teilaufgaben)
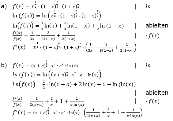
| Mithilfe logarithmischer Differentiation ist abzuleiten. | |
| a) | ![]() |
| b) | ![]() |
| c) | ![]() |
| d) | ![]() |
| |
Aufgabe A2 (4 Teilaufgaben)
| Bilde die Ableitungen der Funktionen mithilfe logarithmischer Differentiation. | |
| a) | ![]() |
| b) | ![]() |
| c) | mit ![]() |
| d) | ![]() |
| |
| Du befindest dich hier: |
| Die Logarithmische Differentiation Level 4 - Universität - Blatt 2 |


- Geschrieben von Meinolf Müller Meinolf Müller
- Zuletzt aktualisiert: 03. August 2022 03. August 2022










mit 





